• 0723280821
  • contact@lawlib.ro

 Set de documente privind cercetarea disciplinara

99.99 lei
Alege produsul

Angajatorul dispune de prerogativă disciplinară, având dreptul de a aplica sancțiuni disciplinare salariaților săi ori de câte ori constată că aceștia au săvârșit o abatere disciplinară.

Efectuarea corectă și completă a cercetării disciplinare prealabile este foarte importantă deoarece instanța competentă să soluţioneze contestaţia salariatului împotriva sancţiunii disciplinare aplicate acestuia, constatând că procedura nu a fost respectată, poate dispune reintegrarea salariatului cu consecințe financiare semnificative pentru angajator.

Documente editabile în format .docx arhivate în format .zip


Opțiuni:

COMISIE - documente utilizate în cazul în care cercetarea disciplinară va fi efectuată de către o comisie

CONSULTANT EXTERN - documente utilizate în cazul în care cercetarea disciplinară va fi efectuată de către un consultant extern specializat în legislația muncii

PERSOANĂ DESEMNATĂ - documente utilizate în cazul în care cercetarea disciplinară va fi efectuată de către un salariat al angajatorului


Setul conține:

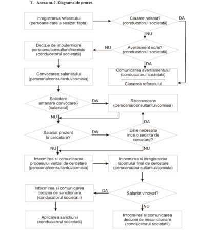
Procedura utilizată de comisie/consultant extern/persoana desemnată (conform opțiunii alese) privind cercetarea disciplinară prealabilă împreună cu formulare și diagrama de proces, anexă la regulamentul intern

Formulare:

Referat de sesizare a abaterii disciplinare

Decizie de împuternicire (conform opțiunii alese) 

Declarație conflict de interese

Convocare salariat la cercetare disciplinară

Convocare martor la cercetare disciplinară

Notă de informare a salariatului/martorului/membrilor comisiei (conform opțiunii alese) privind prelucrarea datelor cu caracter personal

Notă de informare a consultantului extern/membru al sindicatului  privind prelucrarea datelor cu caracter personal

Declarație de confidențialitate

Proces verbal de cercetare pentru absențe nemotivate cu neprezentare salariat

Proces verbal de cercetare cu prezentare salariat

Proces verbal de cercetare cu neprezentare salariat

Raport final al consultantului extern/comisiei/persoanei împuternicite cu cercetarea disciplinară prealabilă (conform opțiunii alese) pentru absențe nemotivate cu neprezentare salariat

Raport final al consultantului extern/comisiei/persoanei împuternicite cu cercetarea disciplinară prealabilă (conform opțiunii alese) cu prezentare salariat

Raport final al consultantului extern/comisiei/persoanei împuternicite cu cercetarea disciplinară prealabilă (conform opțiunii alese) cu neprezentare salariat

Decizie de sancționare pentru absențe nemotivate cu neprezentare salariat

Decizie de sancționare cu prezentare salariat

Decizie de sancționare cu neprezentare salariat

Decizie de sancționare cu avertisment

Decizie de nesancționare


Legislația utilizată:

Legea 53/2003 privind Codul muncii

Regulamentul UE 2016/679 privind protecția persoanelor fizice în ceea ce privește prelucrarea datelor cu caracter personal și privind libera circulație a acestor date și de abrogare a Directivei 95/46/CE

Pentru utilizarea acestui set de documente sunt necesare:

- un program de dezarhivare al fișierelor cu extensia .zip

- programul Microsoft Word.

Setul de documente poate fi descărcat din contul de utilizator.

Produs supus Termenelor și condițiilor de utilizare a site-ului.


Cumparate frecvent împreună

Vezi mai jos toate produsele frecvent cumparate împreună